[beetles0]        Beetles: choice of link function

   
Dobson (1983) analyses binary dose-response data published by Bliss (1935), in which the numbers of beetles killed after 5 hour exposure to carbon disulphide at N = 8 different concentrations are recorded:


[beetles1]

We assume that the observed number of deaths r i at each concentration x i is binomial with sample size n i and true rate p i . Plausible models for pi include the logistic, probit and extreme value (complimentary log-log) models, as follows

      p
i = exp( a + b x i ) / (1 + exp( a + b x i )
      
      p
i = Phi( a + b x i )
      
      p
i = 1 - exp(-exp( a + b x i ))

The corresponding graph is shown below:

    [beetles2]

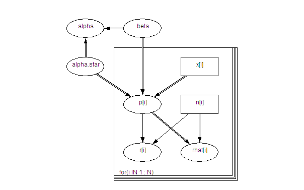
    model
    {
       for( i in 1 : N ) {
          r[i] ~ dbin(p[i],n[i])
          cloglog(p[i]) <- alpha.star + beta * (x[i] - mean(x[]))
          rhat[i] <- n[i] * p[i]
         cumulative.r[i] <- cumulative(r[i], r[i])
       }
       alpha <- alpha.star - beta * mean(x[])
       beta ~ dnorm(0.0,0.001)
       alpha.star ~ dnorm(0.0,0.001)   
    }
   

Data ( click to open )


Inits for chain 1      Inits for chain 2 ( click to open )


Results

A 1000 update burn in followed by a further 10000 updates gave the parameter estimates

Logit model

[beetles3]


Probit model
[beetles4]


Extreme value (cloglog) model


[beetles5]