[air0]         Air: Berkson measurement error

Whittemore and Keller (1988) use an approximate maximum likelihood approach to analyse the data shown below on reported respiratory illness versus exposure to nitrogen dioxide (NO 2 ) in 103 children. Stephens and Dellaportas (1992) later use Bayesian methods to analyse the same data.

[air1]

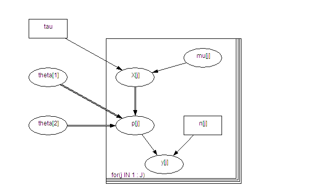
A discrete covariate z j (j = 1,2,3) representing NO 2 concentration in the child's bedroom classified into 3 categories is used as a surrogate for true exposure. The nature of the measurement error relationship associated with this covariate is known precisely via a calibration study, and is given by

   x
j = a + b z j + e j

where
a = 4.48, b = 0.76 and e j is a random element having normal distribution with zero mean and variance s 2 ( = 1/ t ) = 81.14. Note that this is a Berkson (1950) model of measurement error, in which the true values of the covariate are expressed as a function of the observed values. Hence the measurement error is independent of the latter, but is correlated with the true underlying covariate values. In the present example, the observed covariate z j takes values 10, 30 or 50 for j = 1, 2, or 3 respectively (i.e. the mid-point of each category), whilst x j is interpreted as the "true average value" of NO 2 in group j. The response variable is binary, reflecting presence/absence of respiratory illness, and a logistic regression model is assumed. That is

   y j ~ Binomial(p j , n j )
    logit(p j ) = q 1 + q 2 x j

where p j is the probability of respiratory illness for children in the jth exposure group. The regression coefficients q 1 and q 2 are given vague independent normal priors. The graphical model is shown below:

[air2]


   model
   {
      for(j in 1 : J) {
         y[j] ~ dbin(p[j], n[j])
         logit(p[j]) <- theta[1] + theta[2] * X[j]
         X[j] ~ dnorm(mu[j], tau)
         mu[j] <- alpha + beta * Z[j]
      }
      theta[1] ~ dnorm(0.0, 0.001)
      theta[2] ~ dnorm(0.0, 0.001)
   }


Data     ( click to open )

Inits for chain 1     Inits for chain 2     ( click to open )

Results

A 1000 update burn in followed by a further 10000 updates gave the parameter estimates

[air3]